chaguwang.cn-查股网.中国
查股网.CN
键凯科技(688356)内幕信息消息披露
 
沪深个股最新内幕信息查询:    
 

键凯科技提供LNPS递送系统辅料

http://www.chaguwang.cn  2022-04-08  键凯科技内幕信息

来源 :键凯科技PEGylation2022-04-08

  

  JenKem Technology

  日前,石药集团和康希诺生物分别开发的新型冠状病毒mRNA疫苗已获国家药监局批准开展临床研究。

  此前,进入临床试验阶段的还有沃森生物/艾博生物、斯微生物、艾美疫苗等企业研发的新冠mRNA疫苗。

  NEWS

  纳米颗粒脂质体即LNPs递送系统。

  Lipid nanoparticles,LNPs

  业界通常认为通过非共价亲和力和细胞膜结合并通过内吞作用被摄取,进入细胞后 mRNA 逃离内吞小泡,被释放到细胞质中表达靶蛋白。

  LNPs递送系统

  JenKem

  相对其他类型的核酸药物递送系统而言,LNP具有很多优势,比如核酸包封率高并且能够有效转染细胞,组织穿透性强,细胞毒性和免疫原性低,更有利于递送药物等优势,这些优势使LNP成为出色的核酸递送系统。

  LNP 由胆固醇(有助于稳定)、磷脂(支持脂质双层结构)、PEG衍生物(减少聚集和非特异性摄取)和可电离脂质(复合带负电mRNA、增强内体逃逸)组成[1]。几种磷脂分子组成一个直径100纳米左右的球形(如图1所示),将mRNA分子包裹在内部,递送到细胞内。

  图1:LNPs组成示意图[4]

  LNPs递送原理

  JenKem

  首先是递送系统与细胞膜之间的相互作用,由于静电相互作用,具有阳离子性质的递送系统被吸附在细胞膜表面。通过细胞内吞作用,递送系统进入到细胞内形成内体,内体成熟后会和溶酶体相融合,溶酶体内的酸性环境和水解酶可以降解载体和载体内部的mRNA,所以,mRNA降解前的内体逃逸被认为是mRNA疗法成功的关键步骤[2]。

  图2:mRNA/LNP的递送原理示意图[3]

  脂质类材料作为体内可降解、生物相容性好的仿生材料,在递送药物方面有着巨大潜力。展望未来,期望新型脂质载体的研发可以提高药物/疫苗的安全性及疗效,从而更好地保障人类健康[1]。

  目前,Moderna、CureVac、BioNTech,均采用脂质纳米技术递送(LNP),这也是当下在核酸药物领域应用比较广泛的递送技术类型。

  键凯科技秉承“以材料创新引领生物医药创新”的宗旨,注重技术研发。公司可提供以下LNPs递送系统辅料的实验室与GMP级别产品!

  键凯科技已有3个产品获得了药用辅料登记。另有其他DMF工作正在办理中。

  ①键凯科技生产的 M-DTDAM-2000(ALC-0159)于2022年1月26日在国家药品监督管理局药品审评中心获得药用辅料登记,登记号:20210000577。

  产品名称:Methoxy PEG Ditetradecylacetamide, MW 2000(ALC-0159)

  产品纯度:?≥ 95%,≥ 99%可根据客户需求提供不同纯度的产品

  (仅供科研目的,不作销售)

  (SAMPLE FOR RESEARCH PURPOSE ONLY, NOT FOR SALE)

  ②键凯科技生产的 M-DMG-2000 于2021年9月16日在国家药品监督管理局药品审评中心获得药用辅料登记,登记号:20210000376。

  M-DMG-2000

  产品名称:Methoxy PEG Dimyristoyl-rac-glycero, MW 2000

  产品纯度:?≥ 99%???可根据客户需求提供不同纯度的产品

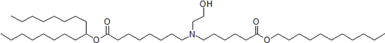
  ③键凯科技生产的 ALC-0315 于2021年11月16日在国家药品监督管理局药品审评中心获得药用辅料登记,登记号:20210000466。

  ALC-0315

  产品名称:

  [(4-hydroxybutyl)azanediyl]bis(hexane-6,1-diyl)bis(2-hexyldecanoate

  Cas No:?2036272-55-4

  产品纯度:?≥ 99%???可根据客户需求提供不同纯度的产品(仅供科研目的,不作销售)

  (SAMPLE FOR RESEARCH PURPOSE ONLY, NOT FOR SALE)

  SM-102 (样品)

  产品名称:

  Cas No:2089251-47-6

  产品纯度:≥ 95%,≥ 99%

  可根据客户需求提供不同纯度的产品

  M-CM-2000

  产品名称:

  产品纯度:≥ 95%,≥ 99%

  可根据客户需求提供不同纯度的产品

  M-EPOX-2000

  产品名称:

  产品纯度:≥ 95%,≥ 99%

  可根据客户需求提供不同纯度的产品

  M-GLC-2000

  产品名称:

  产品纯度:≥ 95%,≥ 99%

  可根据客户需求提供不同纯度的产品

  产品名称:

  产品纯度:≥ 95%,≥ 99%

  可根据客户需求提供不同纯度的产品

  M-DTDA-2000

  (ALC-0159类似物,可绕过专利)

  产品名称:

  产品纯度:≥ 95%,≥ 99%

  可根据客户需求提供不同纯度的产品

  JenKem

  如您需要其他分子量或未列出的结构,欢迎通过以下方式联系我们:

  键凯热线:010-82156767

  电子邮箱:sales@jenkem.com

  键凯科技为您提供定制合成服务,为您的研发项目提供全方位的支持。

  键凯科技期待与您的合作!

  参考文献:

  1.尚红涛,冯旭晨,许蓬娟,等.基于脂质载体的mRNA疫苗递送系统研究进展[J].药物评价研究, 44(4):7.

  2. WHITE PAPER, mRNAVaccines: Disruptive Innovation in Vaccination. From Moderna May 2017.

  3. I Gómez-Aguado, JRodríguez-Castejón,? Vicente-Pascual M ,et al. Nanomedicines to Deliver mRNA: State of the Art and FuturePerspectives[J]. Nanomaterials, 2020, 10(2).

  4.Aldosari B N ,? Alfagih I M , Almurshedi A S . Lipid Nanoparticles as Delivery Systems for RNA-BasedVaccines[J]. Pharmaceutics, 2021, 13(2):206.

有问题请联系 767871486@qq.com 商务合作广告联系 QQ:767871486
查股网以"免费 简单 客观 实用"为原则,致力于为广大股民提供最有价值和实用的股票数据作参考!
Copyright 2007-2021
www.chaguwang.cn 查股网