来源 :复星医药2025-06-17
2025年第30届欧洲血液学协会(EHA)年会于6月12日至6月15日在意大利米兰盛大召开。作为全球血液学领域规模最大的国际会议之一,EHA大会吸引了来自全球各地的专家学者,共同探讨血液学领域前沿研究成果。在本次大会上,复星医药自主研发的MEK1/2抑制剂芦沃美替尼(FCN-159)治疗复发/难治性朗格汉斯细胞组织细胞增生症(LCH)儿童患者的关键研究成果重磅发布,为其科学应用再添新证1。

芦沃美替尼是一种高选择性MEK1/2口服小分子抑制剂,通过阻断MAPK信号通路的异常激活,抑制肿瘤细胞增殖并诱导其凋亡。目前芦沃美替尼已通过国家药品监督管理局优先审评审批程序,于5月29日获批用于治疗朗格汉斯细胞组织细胞增生症(LCH)和组织细胞肿瘤成人患者;以及2岁及2岁以上伴有症状、无法手术的丛状神经纤维瘤(PN)的I型神经纤维瘤病(NF1)儿童及青少年患者,是中国首个且目前唯一拥有上述双适应症的药物。此外,芦沃美替尼用于儿童LCH的适应症也已被国家药监局药品审评中心纳入突破性治疗药物程序。本次EHA大会上,芦沃美替尼用于儿童LCH的II期研究成果以壁报形式发布,展示了其良好的疗效及安全性。
该项多中心、开放标签、单臂、II期研究由首都医科大学附属北京儿童医院的张蕊教授牵头,旨在评估芦沃美替尼用于治疗复发/难治性LCH儿童患者的有效性与安全性。该研究纳入25名复发或难治性LCH儿童患者接受芦沃美替尼单药治疗(剂量 5 mg/m2,每日一次),每28天为一周期。主要终点为由独立评审委员会(IRC)基于PET response criteria (PRC)评估的客观缓解率(ORR),次要终点包括由研究者基于PRC评估的ORR、研究者根据2009年《LCH评估与治疗指南》评估的ORR和安全性等。
截至2024年11月13日,共有25例患儿入组,中位随访时间为7.4个月。研究结果显示,IRC根据PRC评估的ORR达84.0%(21/25),其中14例为完全代谢缓解(CMR),7例为部分代谢缓解(PMR)。研究者评估的ORR达80.0%(20/25),其中11例为CMR,9例为PMR(表1 图1)。
表1.芦沃美替尼疗效数据

图1. SUV 与基线相比的最佳百分比变化

在入组的 25 例患儿中,84%(n=21)的患者在组织或 cfDNA 样本中存在多种 MAPK 通路突变(15例[60.0%] BRAF 突变,2例[8.0%] ARAF 突变,和4 例[16.0%] MAP2K1 突变),其余4例患儿(16%)未检测到基因突变。在BRAF 突变、ARAF 突变、MAP2K1 突变和未发现突变的患儿中,IRC评估的ORR分别为86.7%、50%、100%和75%。
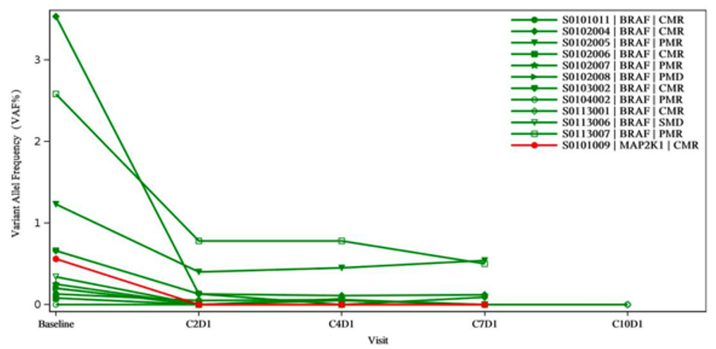
此外,12例患儿在基线cfDNA中检测到基因突变(11例BRAF 基因突变,1例MAP2K1 基因突变)。接受芦沃美替尼治疗3个周期后,该12例患儿cfDNA变异等位基因频率均显著降低或降低至检测不到的水平,且与患者的临床反应一致(图2)。
图2. cfDNA中MAPK通路变异等位基因频率(VAF %)的动态变化

安全性和耐受性分析显示,最常见的药物治疗相关不良事件(TRAE)依次为皮疹(36.0%)、血液肌酸磷酸激酶升高(36.0%)、口腔溃疡(16.0%)、天冬氨酸氨基转移酶升高(16.0%)、甲沟炎(16.0%)、皮炎(16.0%)、皮肤感染(16.0%)和贫血(16.0%)。2例患儿(8.0%)出现≥3级的TRAE(肌酸磷酸激酶升高和皮疹各一例)。20.0%和12.0%的患儿分别报告了导致暂停用药和剂量降低的TRAE。未发现引起停药的TRAE或严重TRAE (表2)。
表2.发生率 10%的TRAEs及≥3级TRAE

该研究结果初步表明,芦沃美替尼治疗难治/复发性LCH患儿疗效显著且耐受性良好,没有因TRAE引起停药的报告。
目前,儿童LCH领域尚无药物获批。在本次EHA大会上,该研究的初步结果展示了芦沃美替尼良好的疗效及安全性。未来复星医药将持续探索,早日为患者带来新的治疗选择。