来源 :中国证券网2025-02-09
群兴玩具2月9日在官方微信宣布,应广大客户对于DeepSeek系列模型的强烈需求,公司即日起全面启动“DeepSeek全模型生态赋能计划”。该计划将依托图灵云平台,率先完成DeepSeek全系列模型的标准化部署,其中针对市场热度最高的DeepSeek-R1模型,特别推出“图灵R1算力解决方案”,通过图灵智算集群与算力调度系统的深度耦合,实现大模型推理效率提升。
公司表示,图灵云平台具备算力资源纳管、算力调度、资源监控、AI工具链管理,提供覆盖数据集管理、模型开发和模型训练等丰富功能,未来,将助力客户快速构建基于DeepSeek全系列模型的智能应用,让用户享受AI技术进步给业务带来的巨大红利。
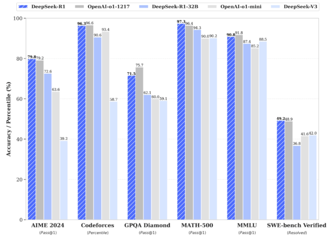
公开资料显示,中国AI初创公司杭州深度求索人工智能基础技术研究有限公司(简称“深度求索”)于2024年12月26日发布DeepSeek-V3,其以更低的训练成本,实现了与GPT-4o等顶尖模型相媲美的性能,震惊业界。随即,DeepSeek在2025年1月20日推出新模型DeepSeek-R1,DeepSeek-R1在后训练阶段大规模使用强化学习技术,性能比肩OpenAI o1正式版。

随着DeepSeek热度飙升,从云服务巨头到本土芯片厂商、AI应用企业,纷纷加入其“朋友圈”。
群兴玩具表示,2月8日,图灵引擎召开全体人员内部专题研讨会,深度研判以国产开源大模型DeepSeek为代表的开源大模型的技术突破。团队形成共识:2025年将是AI技术大规模落地应用的黄金窗口期。此次战略规划部署,标志着图灵云正式构建起“国产大模型+图灵智算”双引擎架构,未来,将持续赋能金融、医疗、智能制造、交通、零售、教育等领域客户业务的智能化转型,助力中国AI生态的跨越式发展。